İzmir'de kooperatif projeleriyle ilgili yürütülen yolsuzluk soruşturmaları devam ederken, kamuoyunu sarsacak yeni iddialar gündeme geldi. S.S. İş Alemi Yeni Yaşam Konut Yapı Kooperatifi'nin yeni yönetimine devredilen bozuk telefonda yer alan listede CHP’de Kılıçdaroğlu’na yakın vekillerin isimlerinin yer aldığı ve bu isimlere daire tahsis edildiği öne sürüldü. CHP’li Salıcı iddiaları bakanlığa sordu.
GERÇEKİZMİR - İzmir'de kooperatif projeleriyle ilgili yürütülen yolsuzluk soruşturmaları devam ederken, kamuoyunu sarsacak yeni iddialar gündeme geldi.
Eski İzmir Büyükşehir Belediyesi Başkanı Tunç Soyer ile eski CHP İzmir İl Başkanı Şenol Aslanoğlu’nun tutuklu olarak yargılandığı soruşturma devam ederken CHP’li milletvekilleri ile ilgili çarpıcı iddialar ortaya atıldı.

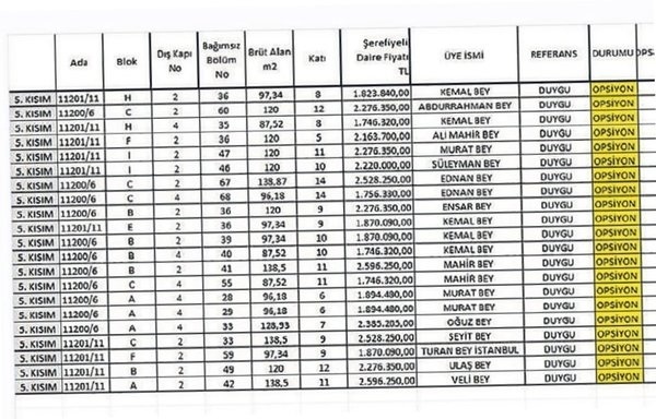
Sınırlı Sorumlu İş Alemi Yeni Yaşam Yapı Kooperatif yönetimini devralan yeni ekibe teslim edilen bozuk cep telefonunda soy isimleri olmadan Murat Bey (Murat Bakan), Ednan Bey (Ednan Arslan), Mahir Bey (Mahir Polat), Oğuz Bey (Oğuz Kaan Salıcı) gibi vekillerin yer aldığı görüldü.
Söz konusu listede soyadı olmadan ismi geçtiği iddia edilen milletvekillerine kooperatifteki dairelerin önceden ayrıldığı öne sürüldü.

Bunun üzerine CHP İstanbul Milletvekili Oğuz Kaan Salıcı, Çevre, Şehircilik ve İklim Değişikliği Bakanlığı İzmir İl Müdürlüğü’ne kooperatife üyeliği olup olmadığını sordu.

Salıcı’nın 6 Ocak’ta sorduğu soruya müdürlükten 7 Ocak’ta yanıt gelirken. Salıcı’nın adının kooperatif ortakları listesinde adının geçmediği bildirildi.